Barometric Pressure Today Vicksburg Ms . vicksburg, ms current weather | accuweather. South southwest wind between 10 and 13 mph, with gusts as high as 20. weather today in vicksburg, ms, united states. today’s and tonight’s vicksburg, ms weather forecast, weather conditions and doppler radar from the weather channel and weather.com A few showers this afternoon hi: Mostly cloudy, with a low around 73. current conditions at. current conditions at. Some storms could be severe, with heavy rain. Humid with some sun, then turning cloudy; Showers and thunderstorms, mainly before 3am.
from barometricpressure.today
Mostly cloudy, with a low around 73. Humid with some sun, then turning cloudy; Some storms could be severe, with heavy rain. vicksburg, ms current weather | accuweather. South southwest wind between 10 and 13 mph, with gusts as high as 20. A few showers this afternoon hi: weather today in vicksburg, ms, united states. today’s and tonight’s vicksburg, ms weather forecast, weather conditions and doppler radar from the weather channel and weather.com Showers and thunderstorms, mainly before 3am. current conditions at.
Cities — See current barometric pressure near you
Barometric Pressure Today Vicksburg Ms A few showers this afternoon hi: Some storms could be severe, with heavy rain. vicksburg, ms current weather | accuweather. weather today in vicksburg, ms, united states. Humid with some sun, then turning cloudy; Showers and thunderstorms, mainly before 3am. Mostly cloudy, with a low around 73. A few showers this afternoon hi: today’s and tonight’s vicksburg, ms weather forecast, weather conditions and doppler radar from the weather channel and weather.com South southwest wind between 10 and 13 mph, with gusts as high as 20. current conditions at. current conditions at.
From twitter.com
Ethan Sacoransky on Twitter "Todays low has broken atmospheric Barometric Pressure Today Vicksburg Ms Showers and thunderstorms, mainly before 3am. current conditions at. today’s and tonight’s vicksburg, ms weather forecast, weather conditions and doppler radar from the weather channel and weather.com vicksburg, ms current weather | accuweather. South southwest wind between 10 and 13 mph, with gusts as high as 20. current conditions at. Humid with some sun, then turning. Barometric Pressure Today Vicksburg Ms.
From www.wikihow.com
How to Calculate Barometric Pressure 6 Steps (with Pictures) Barometric Pressure Today Vicksburg Ms Humid with some sun, then turning cloudy; South southwest wind between 10 and 13 mph, with gusts as high as 20. current conditions at. current conditions at. weather today in vicksburg, ms, united states. Mostly cloudy, with a low around 73. today’s and tonight’s vicksburg, ms weather forecast, weather conditions and doppler radar from the weather. Barometric Pressure Today Vicksburg Ms.
From doptastic.weebly.com
Barometric pressure weather indicator doptastic Barometric Pressure Today Vicksburg Ms A few showers this afternoon hi: Showers and thunderstorms, mainly before 3am. Mostly cloudy, with a low around 73. South southwest wind between 10 and 13 mph, with gusts as high as 20. vicksburg, ms current weather | accuweather. today’s and tonight’s vicksburg, ms weather forecast, weather conditions and doppler radar from the weather channel and weather.com . Barometric Pressure Today Vicksburg Ms.
From www.youtube.com
Barometric Pressure Changes With Intracranial Hypertension and Chiari Barometric Pressure Today Vicksburg Ms current conditions at. Some storms could be severe, with heavy rain. Showers and thunderstorms, mainly before 3am. South southwest wind between 10 and 13 mph, with gusts as high as 20. A few showers this afternoon hi: vicksburg, ms current weather | accuweather. Humid with some sun, then turning cloudy; current conditions at. today’s and tonight’s. Barometric Pressure Today Vicksburg Ms.
From chart-studio.plotly.com
Barometric Pressure at San Jose Airport (SJC) line chart made by Barometric Pressure Today Vicksburg Ms current conditions at. Humid with some sun, then turning cloudy; vicksburg, ms current weather | accuweather. Mostly cloudy, with a low around 73. Showers and thunderstorms, mainly before 3am. weather today in vicksburg, ms, united states. today’s and tonight’s vicksburg, ms weather forecast, weather conditions and doppler radar from the weather channel and weather.com South southwest. Barometric Pressure Today Vicksburg Ms.
From www.ahlborn.com
Digital atmospheric pressure sensor for barometric pressure English Barometric Pressure Today Vicksburg Ms weather today in vicksburg, ms, united states. A few showers this afternoon hi: current conditions at. Mostly cloudy, with a low around 73. Humid with some sun, then turning cloudy; current conditions at. Some storms could be severe, with heavy rain. today’s and tonight’s vicksburg, ms weather forecast, weather conditions and doppler radar from the weather. Barometric Pressure Today Vicksburg Ms.
From www.earthquakepredict.com
Earthquake Prediction Barometric pressure over USA Barometric Pressure Today Vicksburg Ms current conditions at. Mostly cloudy, with a low around 73. today’s and tonight’s vicksburg, ms weather forecast, weather conditions and doppler radar from the weather channel and weather.com A few showers this afternoon hi: Some storms could be severe, with heavy rain. Humid with some sun, then turning cloudy; weather today in vicksburg, ms, united states. . Barometric Pressure Today Vicksburg Ms.
From twitter.com
Ethan Sacoransky on Twitter "Todays low has broken atmospheric Barometric Pressure Today Vicksburg Ms current conditions at. A few showers this afternoon hi: Some storms could be severe, with heavy rain. vicksburg, ms current weather | accuweather. weather today in vicksburg, ms, united states. Humid with some sun, then turning cloudy; current conditions at. Showers and thunderstorms, mainly before 3am. today’s and tonight’s vicksburg, ms weather forecast, weather conditions. Barometric Pressure Today Vicksburg Ms.
From www.numerade.com
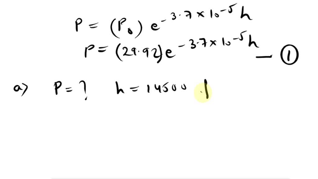
SOLVED The rate at which barometric pressure decreases with altitude Barometric Pressure Today Vicksburg Ms Showers and thunderstorms, mainly before 3am. current conditions at. A few showers this afternoon hi: weather today in vicksburg, ms, united states. Some storms could be severe, with heavy rain. today’s and tonight’s vicksburg, ms weather forecast, weather conditions and doppler radar from the weather channel and weather.com vicksburg, ms current weather | accuweather. Humid with. Barometric Pressure Today Vicksburg Ms.
From www.studocu.com
Lab 3 lab 3 Lab 3barometric pressure and surface tension Part A Barometric Pressure Today Vicksburg Ms today’s and tonight’s vicksburg, ms weather forecast, weather conditions and doppler radar from the weather channel and weather.com current conditions at. South southwest wind between 10 and 13 mph, with gusts as high as 20. Showers and thunderstorms, mainly before 3am. A few showers this afternoon hi: Some storms could be severe, with heavy rain. vicksburg, ms. Barometric Pressure Today Vicksburg Ms.
From device.report
Operation Guide 5497 CASIO Watch Manual for Direction, Barometric Barometric Pressure Today Vicksburg Ms current conditions at. current conditions at. Humid with some sun, then turning cloudy; Some storms could be severe, with heavy rain. Mostly cloudy, with a low around 73. South southwest wind between 10 and 13 mph, with gusts as high as 20. today’s and tonight’s vicksburg, ms weather forecast, weather conditions and doppler radar from the weather. Barometric Pressure Today Vicksburg Ms.
From www.wqad.com
Record high barometric pressure possible this week Barometric Pressure Today Vicksburg Ms current conditions at. A few showers this afternoon hi: Showers and thunderstorms, mainly before 3am. vicksburg, ms current weather | accuweather. current conditions at. today’s and tonight’s vicksburg, ms weather forecast, weather conditions and doppler radar from the weather channel and weather.com Humid with some sun, then turning cloudy; weather today in vicksburg, ms, united. Barometric Pressure Today Vicksburg Ms.
From cewkdksz.blob.core.windows.net
Hourly Barometric Pressure Near Me at Charles Galasso blog Barometric Pressure Today Vicksburg Ms Showers and thunderstorms, mainly before 3am. vicksburg, ms current weather | accuweather. Some storms could be severe, with heavy rain. South southwest wind between 10 and 13 mph, with gusts as high as 20. Mostly cloudy, with a low around 73. A few showers this afternoon hi: Humid with some sun, then turning cloudy; today’s and tonight’s vicksburg,. Barometric Pressure Today Vicksburg Ms.
From www.numerade.com
SOLVED Barometric pressure can be understood using the Boltzmann Barometric Pressure Today Vicksburg Ms today’s and tonight’s vicksburg, ms weather forecast, weather conditions and doppler radar from the weather channel and weather.com current conditions at. Some storms could be severe, with heavy rain. weather today in vicksburg, ms, united states. vicksburg, ms current weather | accuweather. current conditions at. Mostly cloudy, with a low around 73. Showers and thunderstorms,. Barometric Pressure Today Vicksburg Ms.
From dxondqnla.blob.core.windows.net
Barometric Pressure Today And Headaches at Vera Hosford blog Barometric Pressure Today Vicksburg Ms current conditions at. Showers and thunderstorms, mainly before 3am. Some storms could be severe, with heavy rain. vicksburg, ms current weather | accuweather. Humid with some sun, then turning cloudy; weather today in vicksburg, ms, united states. A few showers this afternoon hi: today’s and tonight’s vicksburg, ms weather forecast, weather conditions and doppler radar from. Barometric Pressure Today Vicksburg Ms.
From www.youtube.com
Atmospheric Pressure Factor Affecting Pressure Geography Lec 8 Barometric Pressure Today Vicksburg Ms vicksburg, ms current weather | accuweather. current conditions at. today’s and tonight’s vicksburg, ms weather forecast, weather conditions and doppler radar from the weather channel and weather.com A few showers this afternoon hi: current conditions at. Humid with some sun, then turning cloudy; weather today in vicksburg, ms, united states. Showers and thunderstorms, mainly before. Barometric Pressure Today Vicksburg Ms.
From www.flickr.com
High Pressure Incredibly high barometric pressure today, a… Flickr Barometric Pressure Today Vicksburg Ms Some storms could be severe, with heavy rain. Showers and thunderstorms, mainly before 3am. vicksburg, ms current weather | accuweather. weather today in vicksburg, ms, united states. Mostly cloudy, with a low around 73. South southwest wind between 10 and 13 mph, with gusts as high as 20. current conditions at. current conditions at. A few. Barometric Pressure Today Vicksburg Ms.
From www.wcia.com
Weather Map Room National Wind Barometric Pressure Today Vicksburg Ms A few showers this afternoon hi: vicksburg, ms current weather | accuweather. Showers and thunderstorms, mainly before 3am. South southwest wind between 10 and 13 mph, with gusts as high as 20. current conditions at. weather today in vicksburg, ms, united states. Mostly cloudy, with a low around 73. today’s and tonight’s vicksburg, ms weather forecast,. Barometric Pressure Today Vicksburg Ms.